https://www.acmicpc.net/problem/11050
11050번: 이항 계수 1
첫째 줄에 \(N\)과 \(K\)가 주어진다. (1 ≤ \(N\) ≤ 10, 0 ≤ \(K\) ≤ \(N\))
www.acmicpc.net
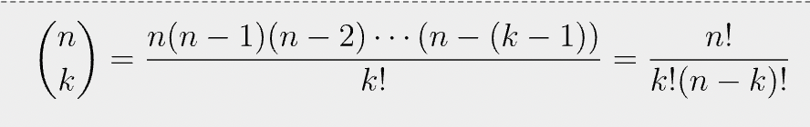
단순히 조합을 구현해보면 되는 문제. 조합 공식은

이렇게 되기에, 팩토리얼 함수를 하나 구현해서 풀었다.
def fac(n):
if n == 1 or n == 0:
return 1
return n * fac(n - 1)
n, k = map(int, input().split())
print(int(fac(n)/(fac(k) * fac(n-k))))
'Algorithms' 카테고리의 다른 글
| 백준 1010. 다리 놓기 (0) | 2022.06.12 |
|---|---|
| 백준 11051. 이항 계수 2 (0) | 2022.06.11 |
| 백준 3036. 링 (0) | 2022.06.10 |
| 백준 1934. 최소공배수 (0) | 2022.06.09 |
| 백준 2609. 최대공약수와 최소공배수 (0) | 2022.06.09 |
댓글